|

Regularity: 4o Mεσογειακό Ράλλυ | Αποτελέσματα

header elka 4o mesogeiako regularity rally 2016 apotelesmataΟλοκληρώθηκε και φέτος με μεγάλη επιτυχία το “4ο Μεσογειακό Ράλλυ”. Με τον καιρό σύμμαχο τα πληρώματα εκκίνησαν από την καφετέρια Sweet Habit στην Κάτω Κηφισιά και ακολούθησαν την προσεκτικά σχεδιασμένη και κατά γενική ομολογία απολαυστική διαδρομή η οποία οδήγησε τα πληρώματα μέσα από τις πιο όμορφες και καταπράσινες διαδρομές του νομού Αττικής. 

Οι τεχνικές στροφές της περιβόητης «κατάβασης Αγίου Μερκουρίου» το ανοιχτό «στροφιλίκι» του Βαρνάβα και η εις διπλούν εναλλαγή του τοπίου από βουνό σε θάλασσα και τούμπαλιν, έδωσε στα πληρώματα την ευκαιρία να χαρούν ένα όμορφο Κυριακάτικο πρωινό μαζί με το αγαπημένο τους όχημα.

Ο τερματισμός ήταν στην Αρτέμιδα, στο Trolley Café όπου και ακολούθησε η τελετή της απονομής και της δεξίωσης. Η Ελληνική Λέσχη Κλασσικού αυτοκινήτου θέλει να ευχαριστήσει όλους τους συμμετέχοντες που μας τίμησαν με την παρουσία τους και κόσμησαν την διοργάνωση με τα πανέμορφα αυτοκίνητα τους, την «Ελληνική Λέσχη Φίλων Fiat 500 και συναφή» που για άλλη μια φορά ήταν δίπλα μας στην προσπάθεια μας αυτή όπως τα πληρώματα του AC3 και ΟΡΚΑ που μας ήρθαν, τους κριτές μας, και τους χορηγούς μας για την πολύτιμη ενίσχυση και συνδρομή τους στον αγώνα.

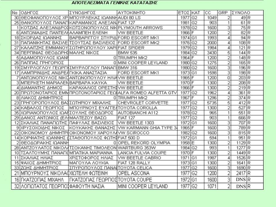
Αποτελέσματα

Ραντεβού στις 3-4-5 Ιουλίου στην «Πανελλήνια Συνάντηση Σκαραβαίων και Κλασσικών Οχημάτων» που θα λάβει χώρα στο Camping «Olympios Zeus» στο Λιτόχωρο Πιερίας για να δημιουργήσουμε για άλλη μια φορά μαζί, όμορφες αναμνήσεις.

Διαβάστε ακόμα